The Pythagorean Theorem Worksheets Answer Key

The Pythagorean Theorem Worksheets Answer Key. Find the missing side and determine if it is a right triangle. 25 = c 2 add:

Pythagorean theorem Worksheet Answer Key Education Template
Pythagorean theorem Worksheet Answer Key Education Template from smithfieldjustice.com

Moreover, descriptive charts on the application of the theorem. In this topic, we’ll figure out how to. Web free 9+ sample pythagorean theorem worksheet templates in ms word.

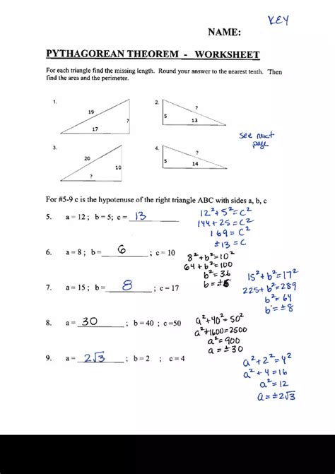
X = 40 5 13 X 12 24 20 10 Scan For More.


4 2 + 3 2 = c 2 the pythagorean equation. Three cases of word problems on pythagorean theorem: Let a = 6, b = 8, and c be the unknown.

Web The Pythagorean Theorem Describes A Special Relationship Between The Sides Of A Right Triangle.


16 + 9 = 25. C 2 = a 2 + b 2. Algebra & geometry b pythagorean theorem word problems worksheet.

Even The Ancients Knew Of This Relationship.


The pythagorean theorem states that the square of the hypotenuse of a right triangle is equal to the sum of the squares of the legs, or a2 + b2 = c2. 5 = c take the. 25 = c 2 add:

1) X 12 In 13 In 5.


Find the missing side and determine if it is a right triangle. Web according to the definition of the pythagorean theorem, the formula would be written as: Moreover, descriptive charts on the application of the theorem.

Web Pythagorean Triple Charts With Exercises Are Provided Here.


Where necessary, round you answer. X = 6 10 8 x 32 24 x answer: Pythagorean theorem assignment a) calculate the measure of x in each.